• Предмет: Алгебра
  • Автор: Отличница2345
  • Вопрос задан 2 года назад

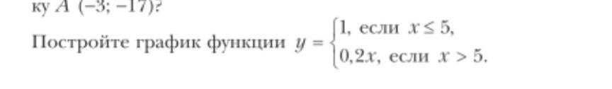
Постройте график функции ​

Приложения:

Ответы

Ответ дал: monsterandpentak2014
1

y=1 - линейная функция

y=0,2x сделал по двум точкам

y=0,2*5=1

y=7,5*0,2=1,5

Приложения:
Вас заинтересует