Як виразити радіус описаного кола(R) через радіус вписаного кола(r), якщо кількість сторін=3 (тобто трикутник)?
Ответы
Ответ дал:
1
Ответ:
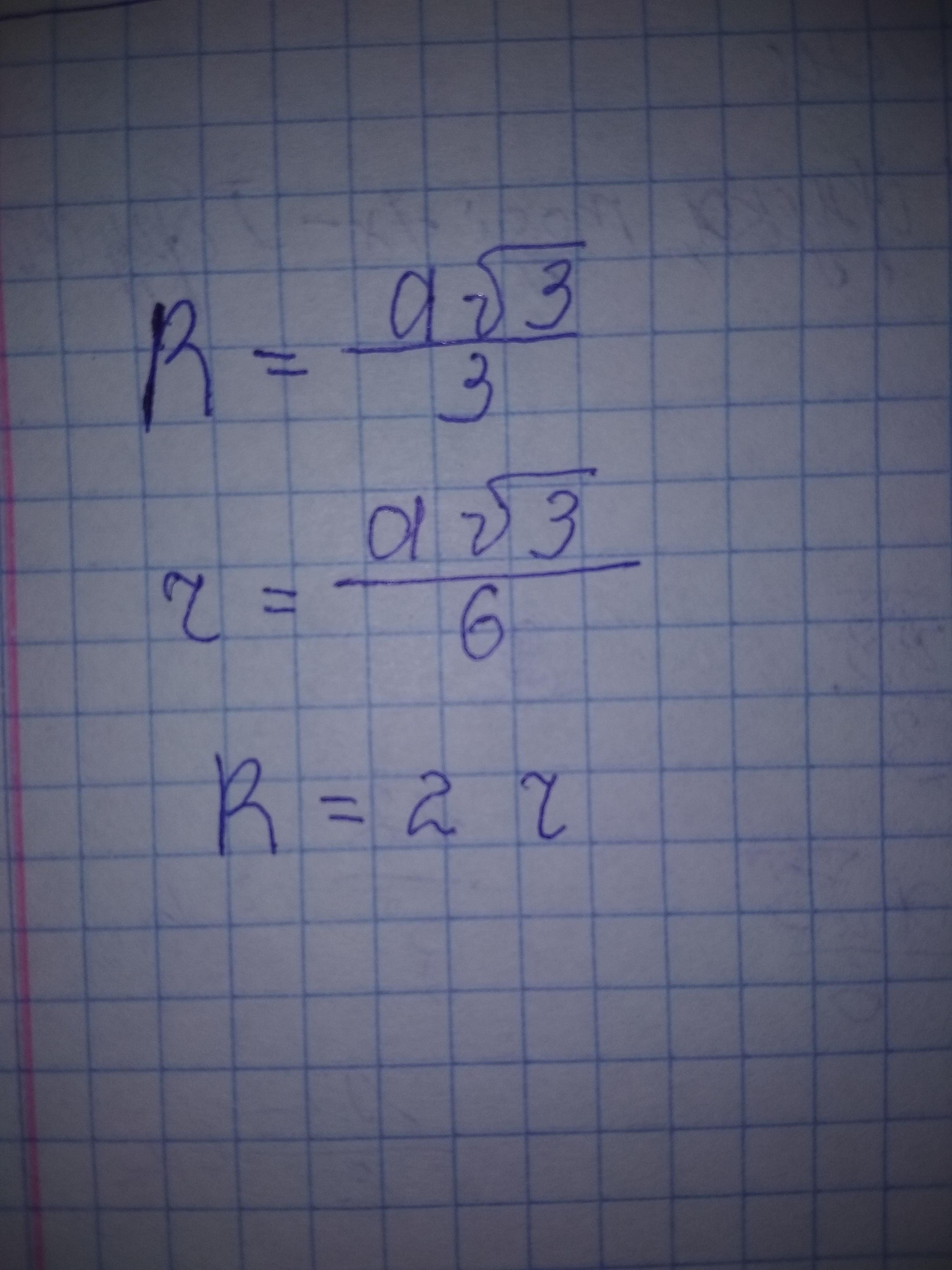
Я думаю так
Объяснение:
Приложения:

220505kirill14:
А если наоборот?
Вас заинтересует
1 год назад
1 год назад
1 год назад
1 год назад
3 года назад
8 лет назад