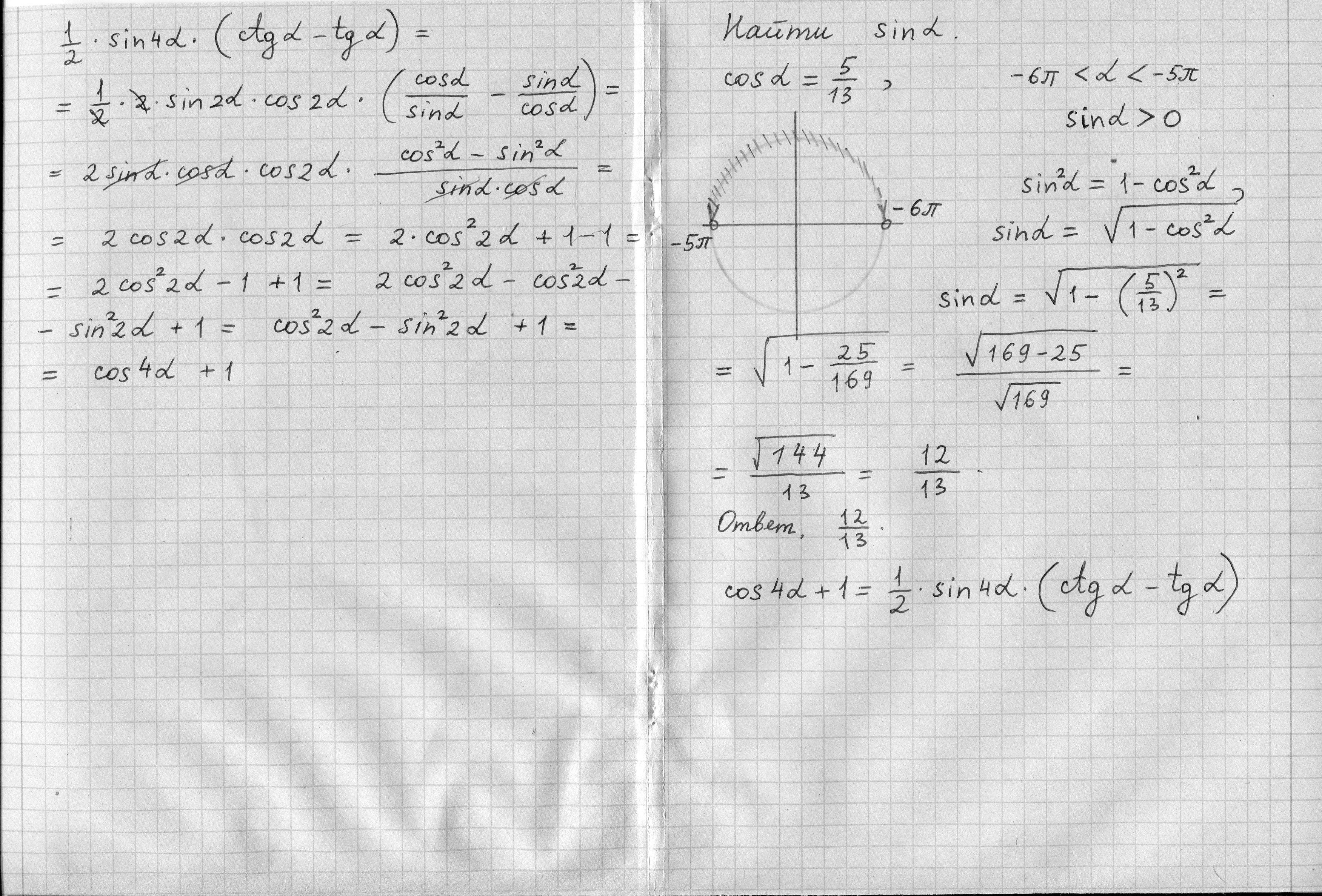
1) Вычислить sin a, если cos a= 5\13 и -6пи < a < -5пи
2) Доказать тождество cos 4 a+1=1\2 sin 4a (ctg a- tg a)
Ответы
Ответ дал:
0
я написал решение на листочке ===>>
Приложения:

Вас заинтересует
1 год назад
1 год назад
1 год назад
3 года назад
8 лет назад
8 лет назад