• Предмет: Математика
  • Автор: polakovaelena639
  • Вопрос задан 2 года назад

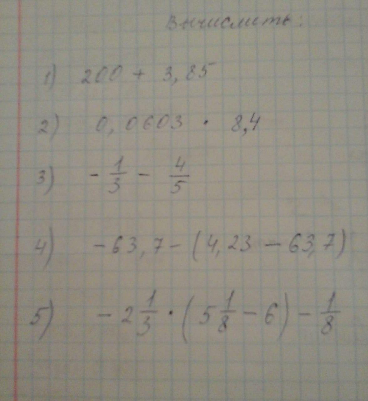
Вычисление
200+3,85
0,0603×8,4
-1\3-4/5
-63,7-(4,23-63,7)
-2,1/3×(5 ,1/8-6)-1/8

Приложения:

Ответы

Ответ дал: kurmangazy2021
1

Ответ:

привет♥♥♥♥♥♥♥♥♥♥♥♥♥♥♥

Приложения:
Вас заинтересует