• Предмет: Математика
  • Автор: Аноним
  • Вопрос задан 2 года назад

Помогите! Пожалуйста! Срочно!
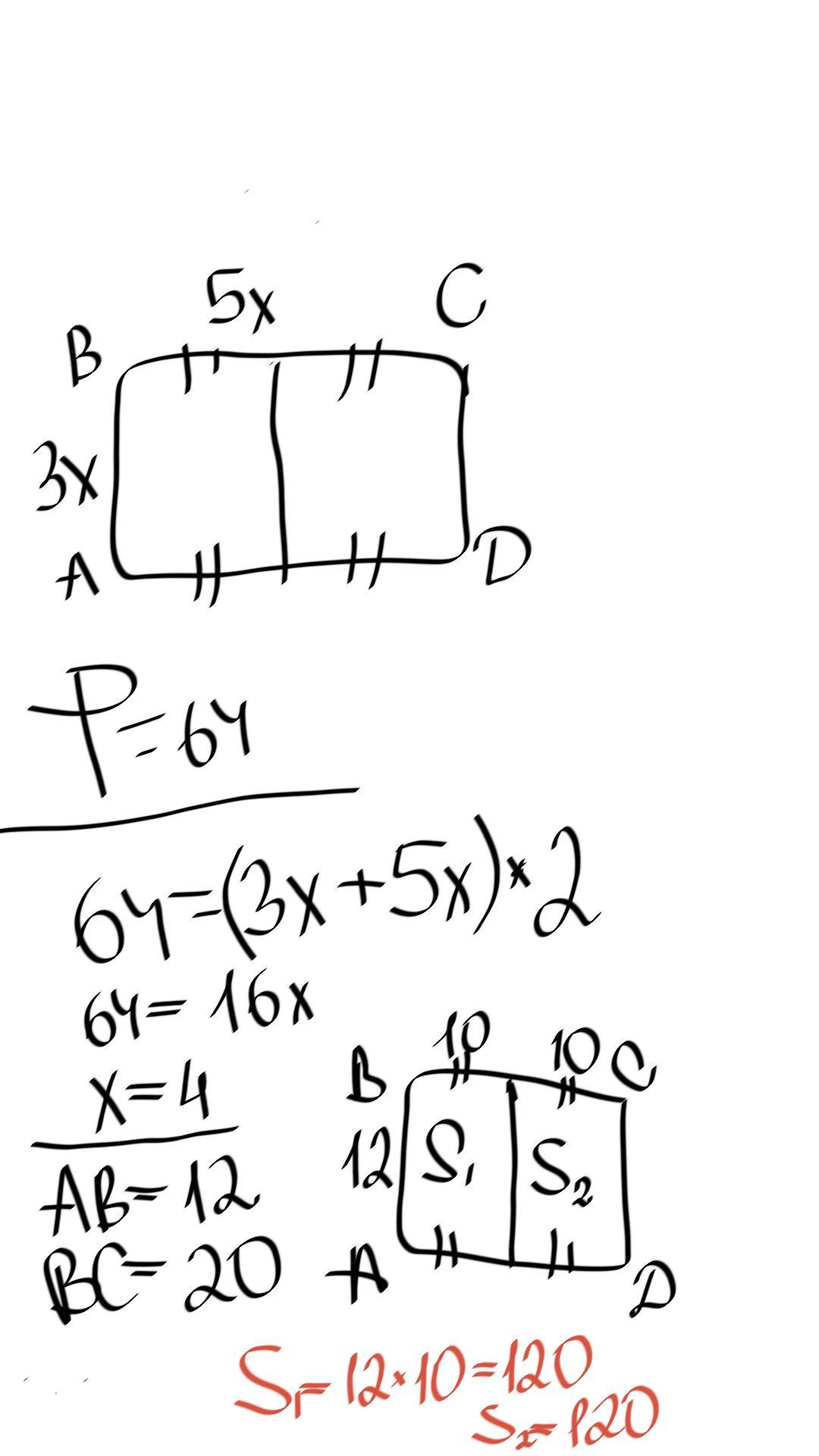
Стороны прямоугольника периметра 64 см относятся как 3:5. Его разрезали на два одинаковых прямоугольника. Чему в кв. см равна площадь каждой из полученных частей?

Ответы

Ответ дал: HotLazy02
8

Ответ:

Пошаговое объяснение:

Приложения:
Вас заинтересует