• Предмет: Геометрия
  • Автор: Аноним
  • Вопрос задан 2 года назад

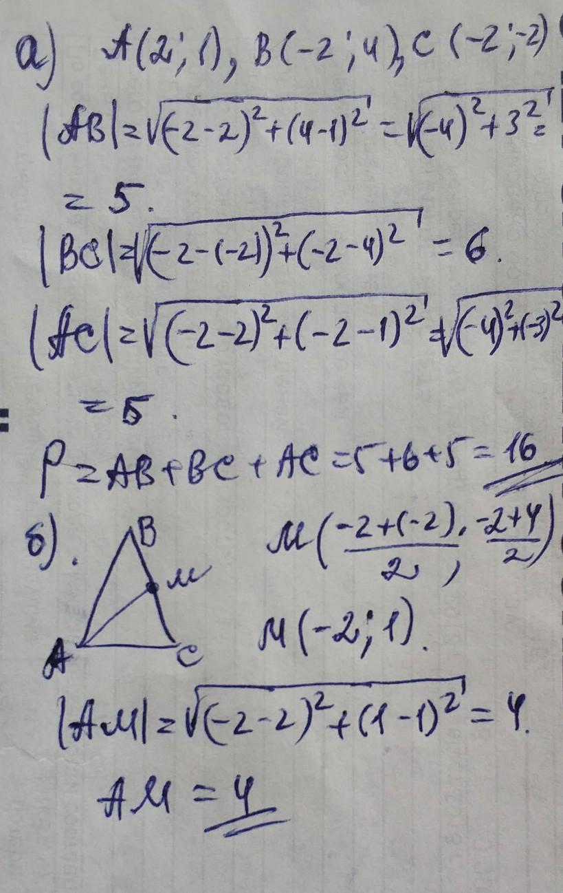
Дан треугольник А(2;1), В(-2;4), С(-2;-2).
а) вычислите периметр этого треугольника;
б) найдите длину медианы, проведеннойк стороне ВС;
в) проверьте, является ли данный треугольник - прямоугольным.​

Ответы

Ответ дал: kirichekov
2

Ответ:

1). Р=16

2). АМ=4

3). ∆АВС не является прямоугольным

Объяснение:

решение во вложении

Приложения:

Аноним: Спасибо:3
Вас заинтересует