• Предмет: Алгебра
  • Автор: Del1dar
  • Вопрос задан 2 года назад

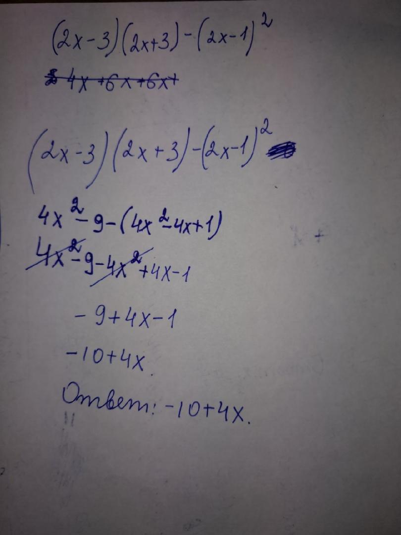
Решите уравнение (2x-3)(2x+3)-(2x-1)^(2)

Ответы

Ответ дал: Жасмин1989
0

Ответ во вложении. Будет что-то непонятно, пишите!

Приложения:
Вас заинтересует