Решите систему уравнений методом подстановки
а)x^2+y^2=20 б)1/x-1/y=1/6
3x+y=2 2y-x=-1
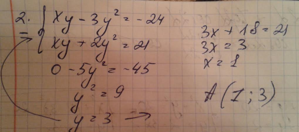
Решите систему уравнений методом алгебраического сложения
xy-3y^2=-24
xy+2y^2=21
Ответы
Ответ дал:
0
....................................
Приложения:


Вас заинтересует
2 года назад
2 года назад
8 лет назад
8 лет назад
10 лет назад