Помогите, пожалуйста.
Закончить уравнение реакций. Поставить коэффициенты способом
полуреакции:
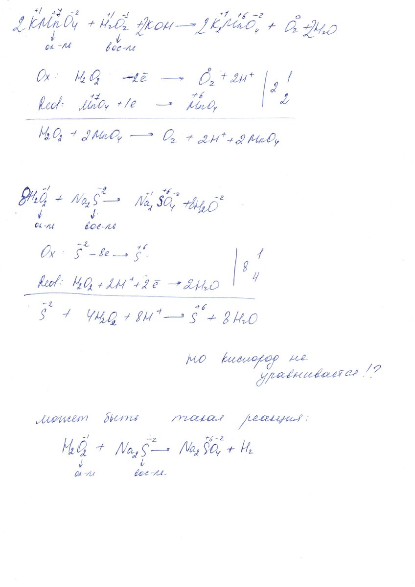
КMnO4+H2O2+KON
->
H2O2+Na2S->
Ответы
Ответ дал:
0
Посмотри вторую реакцию, может что придет в голову...
Окисление пероксида проходит по схеме: H2O2- 2e=O2+2H
Окисление пероксида проходит по схеме: H2O2- 2e=O2+2H
Приложения:

Вас заинтересует
2 года назад
2 года назад
8 лет назад
8 лет назад
10 лет назад
10 лет назад
10 лет назад