• Предмет: Алгебра
  • Автор: evgeneselevich98
  • Вопрос задан 2 года назад

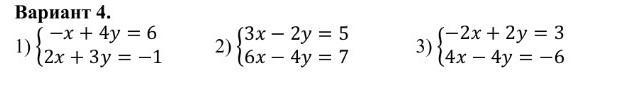
"три способа решения системы линейных уравнений".
только 4 вариант
ДАЮ МНОГО БАЛЛОВ​

Приложения:

evgeneselevich98: пожалуйста

Ответы

Ответ дал: gdfsf
1

Ответ:

Абдуллах бабах ))))))

Приложения:
Вас заинтересует