• Предмет: Математика
  • Автор: TsRuslan
  • Вопрос задан 2 года назад

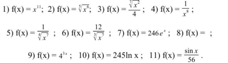
Решите все примеры на картинке

Приложения:

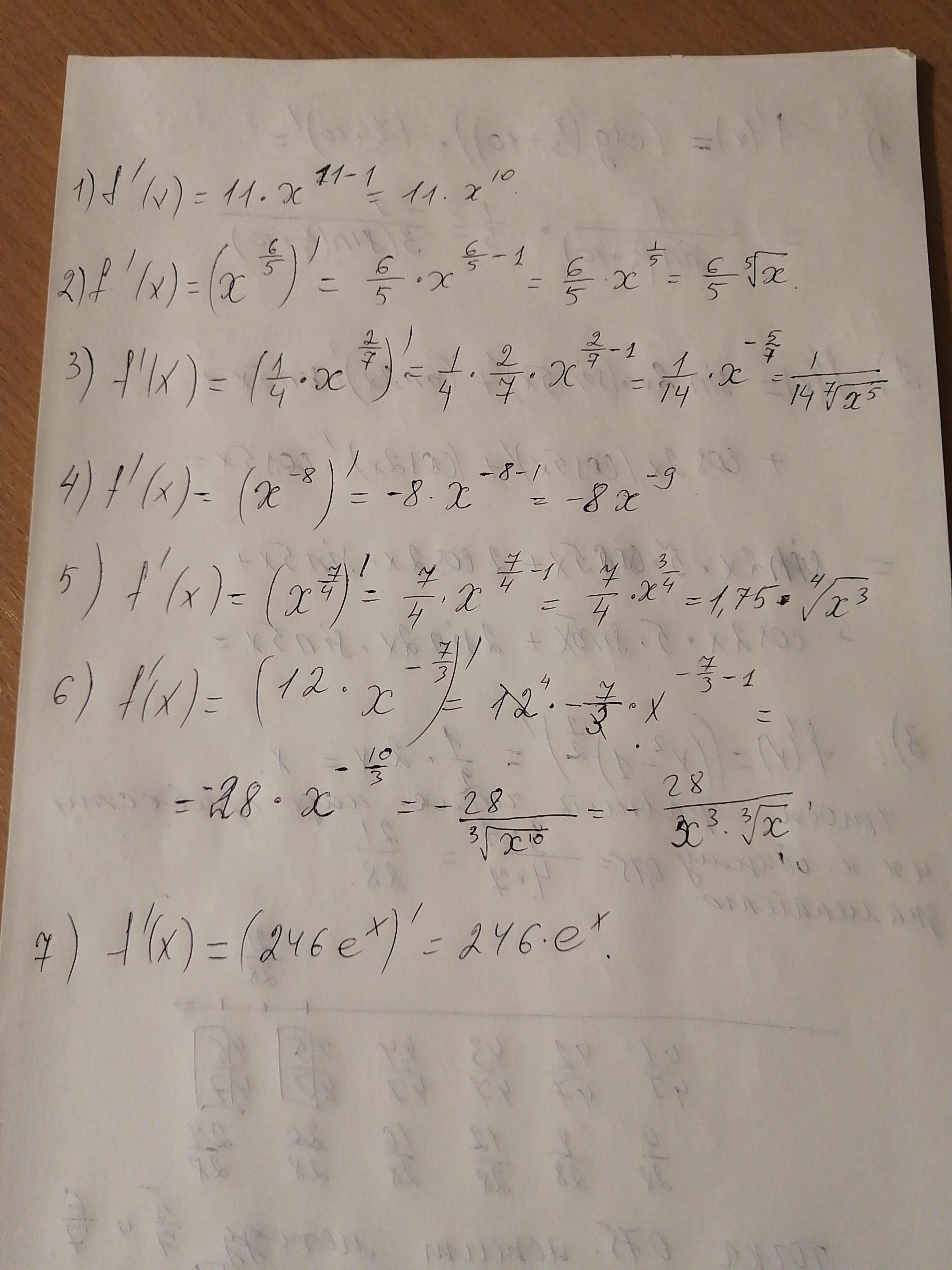
Ответы

Ответ дал: belcatya
1

Ответ: см фото

Пошаговое объяснение:

Приложения:
Вас заинтересует