Ответы
Ответ дал:
0
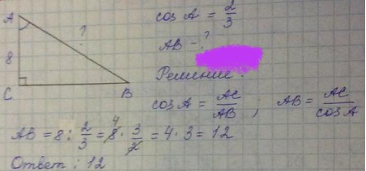
вот тут все показано как нужно решать)
Приложения:

Вас заинтересует
1 год назад
1 год назад
1 год назад
1 год назад
3 года назад
8 лет назад
8 лет назад