• Предмет: Математика
  • Автор: newermate
  • Вопрос задан 2 года назад

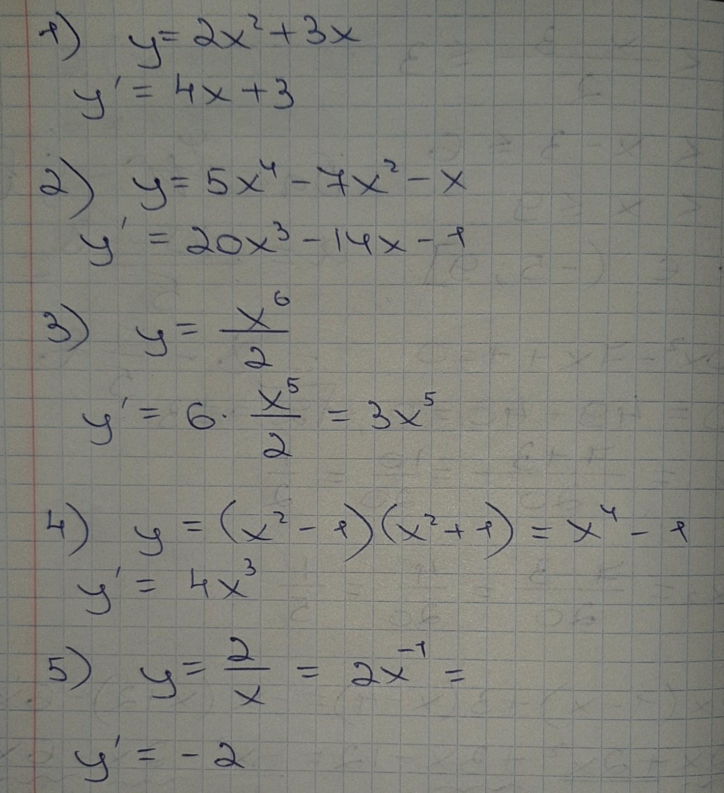
Найти производную функции

Приложения:

Ответы

Ответ дал: nurpeisssova
1

Ответ:

Там в третьей ф-ции плохо видна степень

Приложения:
Вас заинтересует