• Предмет: Математика
  • Автор: vvalleraa
  • Вопрос задан 2 года назад

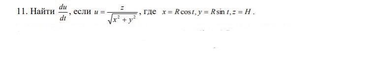
(70б) Найти
dt/du, если....
пожалуйста

Приложения:

Simba2017: 0 наверное

Ответы

Ответ дал: Miroslava227
1

Ответ:

решение на фотографии

Приложения:
Вас заинтересует