задача 1.
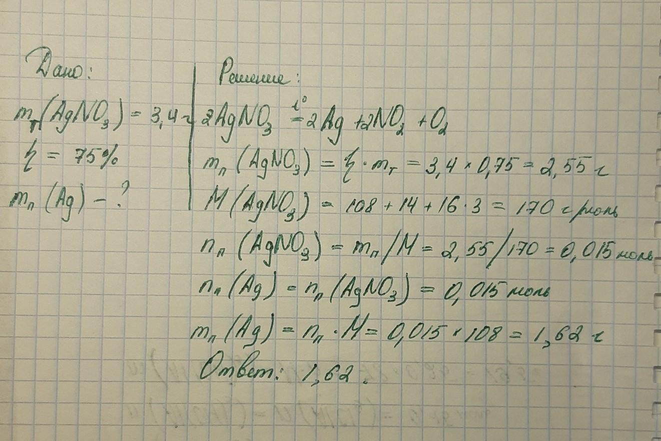
Рассчитайте массу серебра, которую можно получить при термическом разложении 3,4 г нитрата серебра (I), если известно, что выход реакции составил 75%.
Введите массу серебра в граммах с точностью до сотых. Единицы измерения указывать не нужно.
Ответы
Ответ дал:
2
решение на фотографии :)
Ответ: 1,62.
Приложения:

Вас заинтересует
1 год назад
1 год назад
1 год назад
3 года назад
3 года назад
8 лет назад