• Предмет: Алгебра
  • Автор: ilmirkozlov144
  • Вопрос задан 2 года назад

помогите и объесните пожалуйста срочно надо !

Приложения:

Ответы

Ответ дал: wwwalisochka478
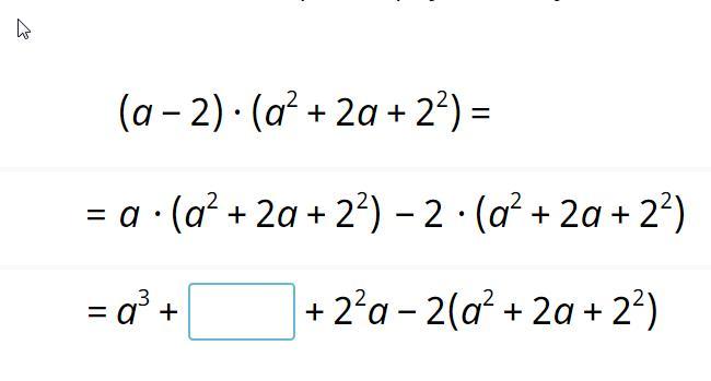
1

Ответ:

"2а в квадрате" будет в пропущенном месте.

Объяснение: Потому ,что расскрывая скобки фонтанчиком мы получаем а(3) , т.е это а*а(2)= а(3) , а*2а= 2а(2)

цифра в скобках- это степень

Вас заинтересует