• Предмет: Алгебра
  • Автор: ViniPuhh
  • Вопрос задан 2 года назад

Найдите наименьшее целое решение неравенства:​

Приложения:

Ответы

Ответ дал: чжан
6

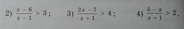
2)

(x-6)/(x-1) > 3

x-6 > 3(x-1)

x-6 > 3x-3

x-3x > 6-3

-2x > 3

x > -3/2

x > -1,5

Ответ: -2

3)

(2x-7)/(x+1) > 4

2x-7 > 4(x+1)

2x-7 > 4x+4

2x-4x > 4+7

-2x > 11

x > - 11/2

x > -5,5

Ответ: -6

4)

(5-x)/(x+1) > 2

5-x > 2(x+1)

5-x > 2x+2

-x-2x > 2-5

-3x > -3

3x < 3

x < 1

Ответ: 1

Вас заинтересует