• Предмет: Алгебра
  • Автор: flashcrash777
  • Вопрос задан 2 года назад

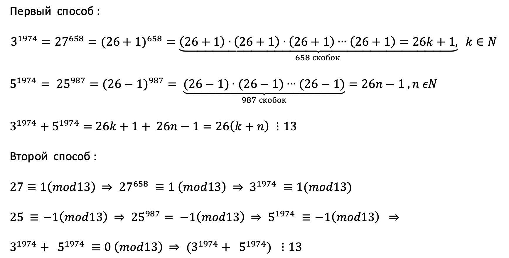
Докажите что 3^1974 + 5^1974, делится на 13

Ответы

Ответ дал: antonovm
3

Решение : /////////////////////////

Приложения:
Вас заинтересует