Ответы
Ответ дал:
1
Ответ:
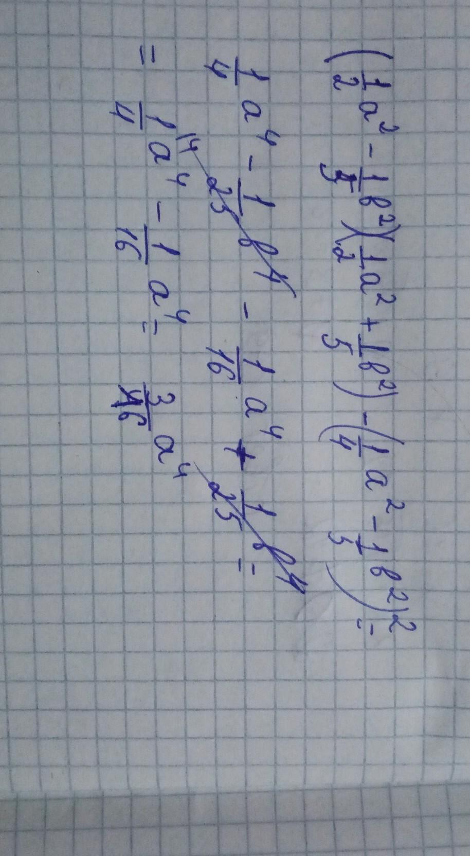
3/16*а^4
ответ на фото
выберите как лучший если понравится
Приложения:

Вас заинтересует
1 год назад
1 год назад
1 год назад
1 год назад
3 года назад
3 года назад