Ответы
Ответ дал:
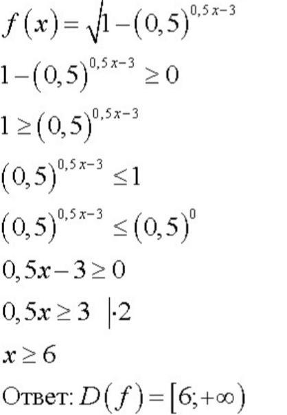
0
Ответ:вот ответ точно
Пошаговое объяснение:
Приложения:

Вас заинтересует
1 год назад
3 года назад
3 года назад
8 лет назад