Ответы
Ответ дал:
1
Ответ:
-13,3
Пошаговое объяснение:
4+64+20=8-6x
88=8-6x
88-8= -6x
80= -6x
x=80/-6
x=40/-3= -13,3(приблизительно)
Ответ дал:
0
Ответ:
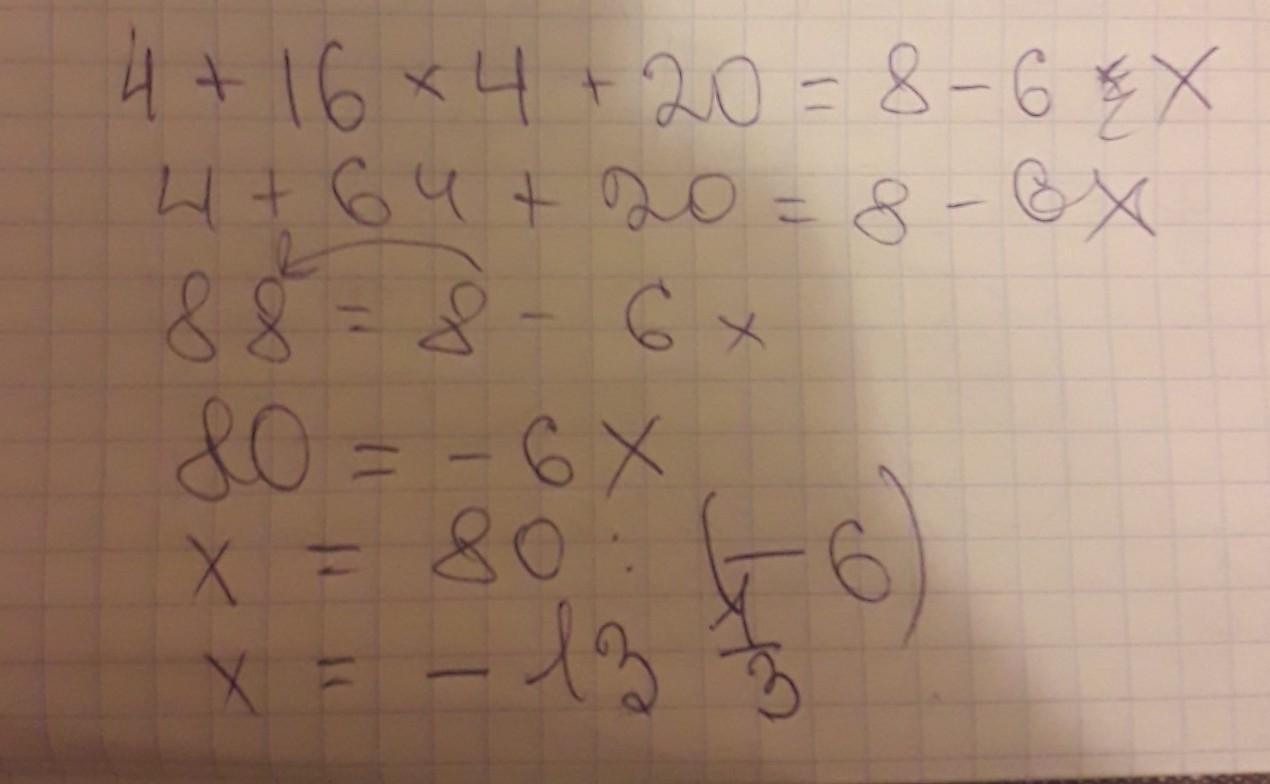
4+16×4+20=8-6х
4+64+20=8-6х
88=8-6х
80=-6х
х=80/-6
х=-13 целых одна третья
Приложения:

kapysva:
там ответ -13 целых одна пятая, а не 13 целых одна пятая)
Вас заинтересует
1 год назад
1 год назад
1 год назад
1 год назад
3 года назад
3 года назад
8 лет назад