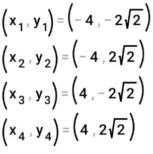
Реши систему уравнений
(в конце ещё есть y=-корень)(на разбросанные 1,2,3,4 не смотрите, это типа номер)
Приложения:

Ответы
Ответ дал:
0
Ответ: Поймешь надеюсь
Объяснение:
Приложения:

Вас заинтересует
1 год назад
1 год назад
3 года назад
8 лет назад
8 лет назад