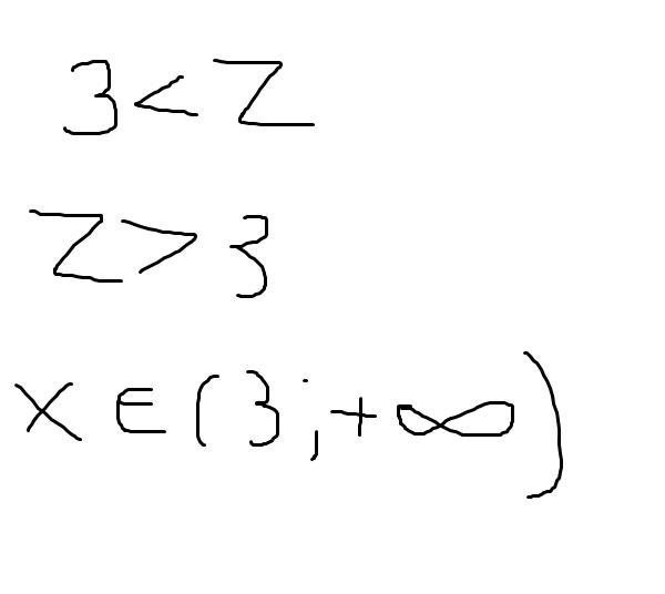
Отобрази решение неравенства 3 < z
(вводи скобки и числа отдельно; если нужно ввести −∞, пиши −Б русскими буквами, без пробелов; если +∞ — пиши +Б).
Ответы
Ответ дал:
0
Ответ:
Объяснение:
вот и все
Приложения:

3837266:
математикл
Вас заинтересует
1 год назад
1 год назад
1 год назад
1 год назад
3 года назад
3 года назад