• Предмет: Алгебра
  • Автор: InoliLiy
  • Вопрос задан 2 года назад

помогите решить пожалуйста​

Приложения:

Ответы

Ответ дал: yulyarozenberg
0

Ответ:

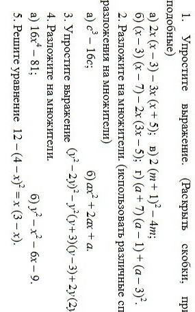
1. а) 2х(х-3)-3х(х+5)=2х^2-6x-3x^2-15x= -x^2-21x; б) (х - 3) (х - 7) - 2х (3х - 5)=x²-3x-7x+21-6x²+10x=21-5x². в) 2(m+1)^2-4m=2m²+4m+2-4m=2m²+2. г) (а+7)(а-1)+(а-3)^2= a^2 - a+7a-7+a^2-6a+9=2a^2+2.

2. a) c^3-16c==c(c^2-16); б) ax^2-2ax+a= a( х^2+2х+1)= а(х+1)^2.

3. 1) Выражение (y² - 2y)² разложим по формуле (a - b)² = a² - 2ab + b², где а = у, b = 2y;

(y² - 2y)² = (y²)² - 2 * y² * 2y + (2y)² = y^4 - 4y^3 + 4y².

(y + 3)(y - 3) = y² - 3² = y² - 9.

3) В выражении 2y(2y² + 5) умножим 2у на каждое слагаемое в скобке;

2y(2y² + 5) = 2y * 2y² + 2y * 5 = 4y^3 + 10y.

(y² - 2y)² - y²(y + 3)(y - 3) + 2y(2y² + 5) = y^4 - 4y^3 + 4y² - y²(y² - 9) + 4y^3 + 10y = y^4 - 4y^3 + 4y² - y^4 + 9y² + 4y^3 + 10y = 13y² + 10y.

4) Выражение (y² - 2y)² разложим по формуле (a - b)² = a² - 2ab + b², где а = у, b = 2y;

(y² - 2y)² = (y²)² - 2 * y² * 2y + (2y)² = y^4 - 4y^3 + 4y².

4. а) 16x^4-81=(2х) ^4-3^4=(4х²+9)(4х²-9)=(4х²+9)(2х+3)(2х-3)

б) у²-х²-6х-9=у²-(х²+6х+9)=у²-(х+3)²=(у-(х+3))(у+(х+3))=(у-х-3)(у+х+3)

5. 12-(4-х)^2=х(3-х)

12-(16-8x+x^2)=3x-x^2

12-16+8x-x^2-3x+x^2=0

-4+5x=0

х=4/5

Объяснение:

Вас заинтересует