• Предмет: Алгебра
  • Автор: parzival0
  • Вопрос задан 2 года назад

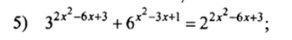
Решить уравнение , помогите пожалуйста !

Приложения:

Ответы

Ответ дал: JOHmcconary
1

Ответ:

Корни 1 и 2

Объяснение:

Это уравнение называется однородным, обычно изучают на более углубленном уровне. Вводим замену и решаем . Я надеюсь все понятно.

Приложения:

parzival0: a/b=-1 или a/b=?2/3 какой знак ?
JOHmcconary: там плюс
parzival0: спасибо
Вас заинтересует