• Предмет: Алгебра
  • Автор: anastasia15158
  • Вопрос задан 2 года назад

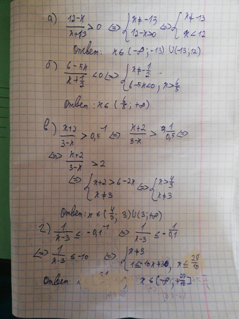
585. Решите неравенство:
пожалуйста срочно нужно
даю 40 баллов ​

Приложения:

Ответы

Ответ дал: ooooor642
5

Ответ на фото

Объяснение:

Приложения:

ooooor642: сори допусти ошибку, но я исправил - перезагрузи сайт, чтобы фото обновилось
Вас заинтересует