• Предмет: Математика
  • Автор: Аноним
  • Вопрос задан 2 года назад

помагите пожалуйста даю 12 баллов

Приложения:

Ответы

Ответ дал: liskunana
0

Ответ:

Пошаговое объяснение:

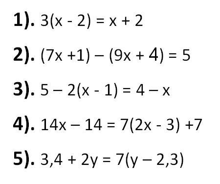
1) 3(x-2)=x+2

3x-6=x+2

3x-x=2+6

2x=8

x=8:2

x=4

2)7x+1-9x-4=5

- 2x-3=5

- 2x=5+3

- 2x=8

x=8:(-2)

x= - 4

3) 5-2(x-1)=4-x

5-2x+2=4-x

7-2x=4-x

- 2x+x=4-7

- x=-3

x=3

4) 14x-14=7(2x-3)+7

14x-14=14x-21+7

- 14=-21+7

- 14= - 14

x=-14:(-14)

x=1

5) 3,4+2y=7(y-2,3)

3,4+2y=7-16,1

2y-7y=-16,1-3,4

- 5y=-19,5

y=-19,5:(-5)

y=3,9

Вас заинтересует