• Предмет: Химия
  • Автор: Nebognuipoh
  • Вопрос задан 2 года назад

СРОЧНО!!! ПОМОГИТЕ, ПОЖАЛУЙСТА!!!
1. Используя метод электронного баланса, расставить коэффициенты в уравнении реакции, схема которой:
A) HI+H2SO4 = I2+H2S+H2O
Б) HNO3+FeO = Fe(NO3)3+NO+H2O

2. Осуществить превращения. Для 2-ого уравнения написать полное и сокращенное уравнения.
А) (NH4)2SO4—>NH4Cl—>(+NaOH)—>X—>N2

Б) Cu—>Cu(NO3)2—>Cu(OH)2—>(+t°)—>X

3. A) Используя только реактивы из приведенного перечня, запишите молекулярные уравнения 2-х реакций, которые характеризуют химические свойства хлорида алюминия. Укажите признаки их протекания.

Дан раствор хлорида алюминия, а также набор следующих реактивов: водные растворы нитрата бария, натрия, нитрата серебра, сульфата магния и металлический цинк.

Б) Используя только реактивы из приведенного перечня, запишите молекулярные уравнения 2-х реакций, которые характеризуют химические свойства нитрата серебра. Укажите признаки их протекания.

Дан раствор нитрата серебра, а также набор следующих реактивов: водные растворы соляной кислоты, бромида калия, нитрата магния, ацетата свинца, уксусная кислота. ​

Ответы

Ответ дал: avtsynovas
1

Ответ:

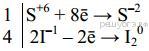
1.а)8HI+H2SO4=4I2+H2S+4H2O переход электронов на фото

все остальные номера прикреплю

Объяснение:

Приложения:
Вас заинтересует