• Предмет: Математика
  • Автор: 11sophias07
  • Вопрос задан 2 года назад

Решите уравнение пожалуйста,15 баллов

Приложения:

Ответы

Ответ дал: valeralunev1980
1

Ответ:

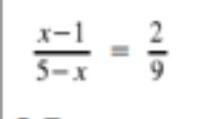
нахождение корня уравнения:( x - 1 ) / ( 5 - x ) = 2/9

x ≠ 5

9( x - 1 ) = 2( 5 - x )

9x - 9 = 10 - 2x

11x = 19

x = 19/11

x = 1 8/11

а просто решить:( x - 1 ) / ( 5 - x ) = 2 / 9 ;

9 * ( x - 1 ) = 2 * ( x - 5 ) ;

9 * x - 9 * 1 = 2 * x - 2 * 5 ;

9 * x - 9 = 2 x - 10 ;

9 * x - 2 * x = - 10 + 9 ;

x * ( 9 - 2 ) = - 1 ;

7 * x = - 1 ;

x = - 1 / 7.

Вас заинтересует