• Предмет: Математика
  • Автор: soskova1987
  • Вопрос задан 2 года назад

Решите уравнение пж
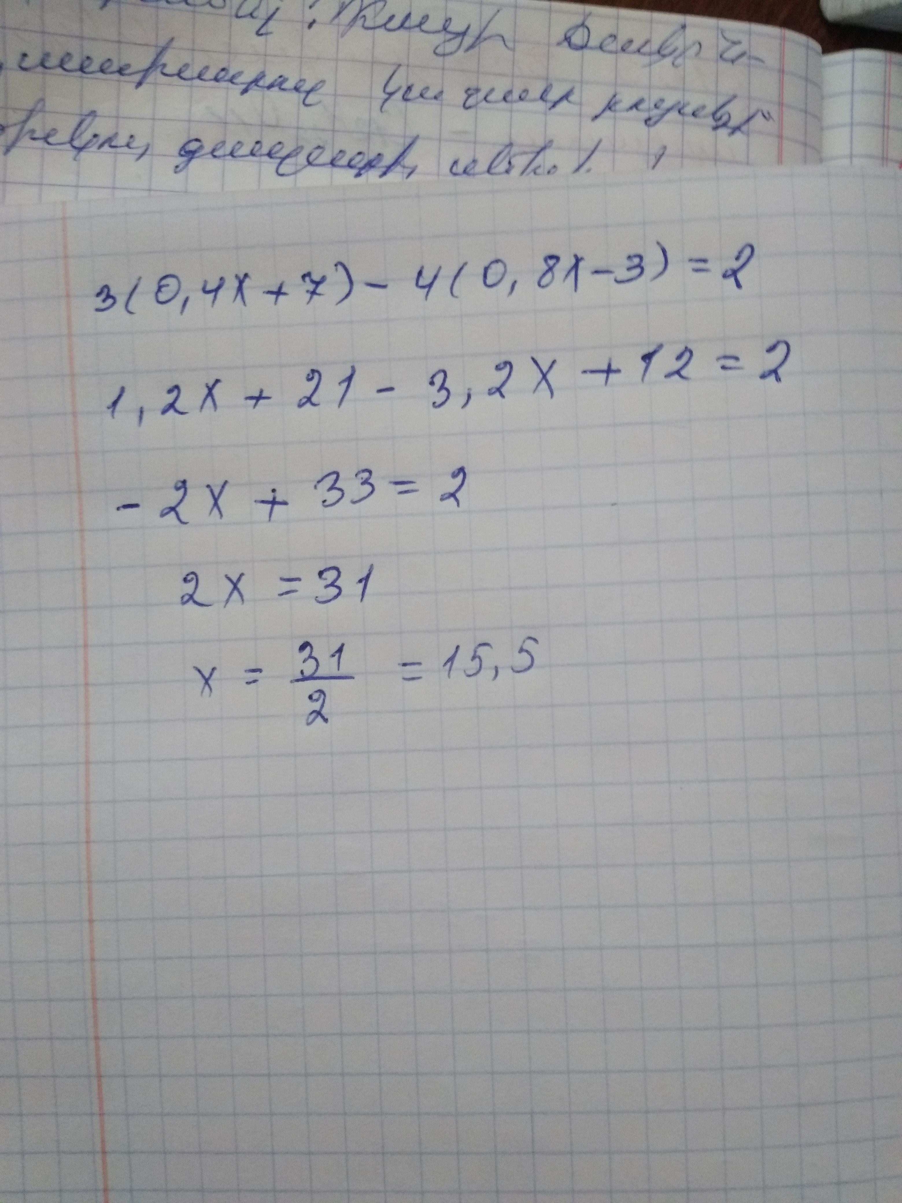
3(0,4x+7)-4(0,8x-3)=2

Ответы

Ответ дал: erjanikharutyunyan20
1

Ответ:

Пошаговое объяснение:

Приложения:
Ответ дал: gulnarnurkoja
0

Ответ: 3(0,4x+7)-4(0,8x-3)=2

1,2x+21-3,2x+12=2

-2x+33=2

-2x=2-33

-2x=-31

x=31/2=15.5

Вас заинтересует