• Предмет: Алгебра
  • Автор: soltyslena
  • Вопрос задан 2 года назад

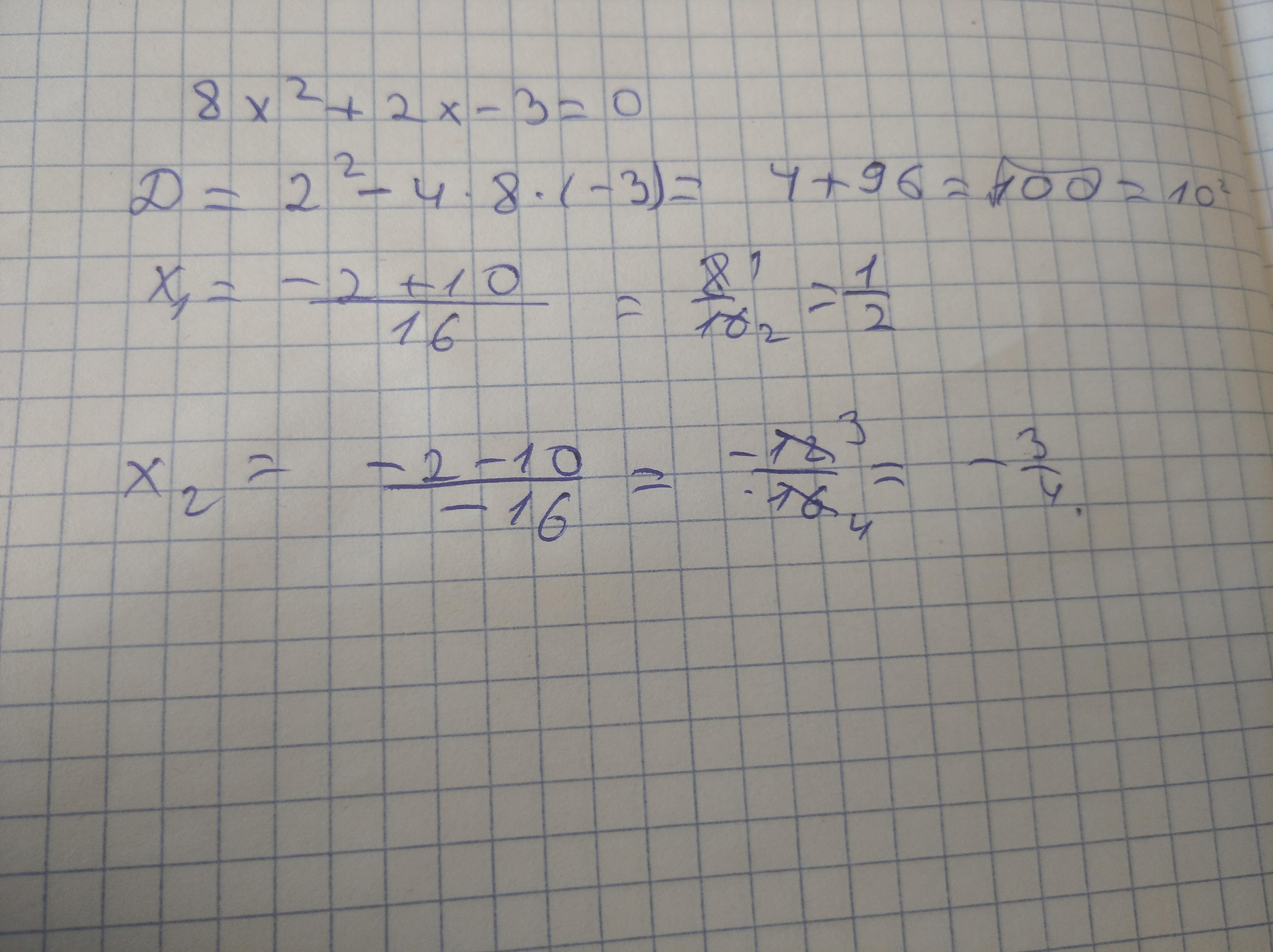
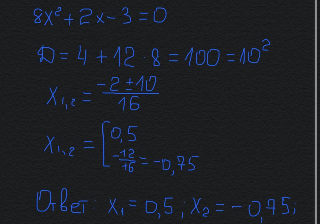
8x2+2x-3=0 вычислите дискриминат

Ответы

Ответ дал: orinboi69
1

Ответ: лови!! Удачки!!!

Объяснение:

Приложения:

orinboi69: Отметь как лучший пожалуйста ♥️♥️♥️♥️♥️
Ответ дал: Reshallka
0

Решение во вложении:

Приложения:
Вас заинтересует