• Предмет: Алгебра
  • Автор: gorobets06d
  • Вопрос задан 2 года назад

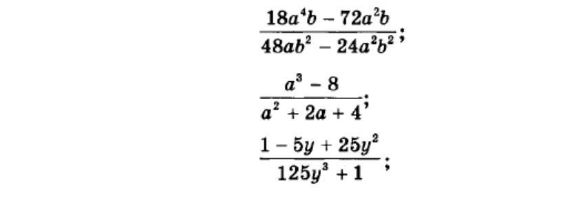
Сократите алгебраические дроби , пожалуйста помогите!!!!!!!

Приложения:

Ответы

Ответ дал: 1105465
1

Ответ:...................

Объяснение: в низу листа после волнистой линии

Приложения:

gorobets06d: Спасибо огромное
Вас заинтересует