Решите пожалуйста пример.Только прошу решите и пропешите по действиям и не присылайте ответы и ссылки гдз.*-это умножить /-это дробная черта
Приложения:
Ответы
Ответ дал:
0
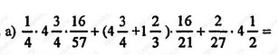
1) перемножаешь первые 3 числа и получаешь 19/57
2) складываешь то что в скобках и получаешь 77/12
3) умножаешь 77/12 на 16/21 и получаешь 308/63
4) умножаешь 2/27 на 4 1/2( это 9/2) и получаешь 1/3
5) складываешь 308/63 и 1/3 и получаешь 329/63
6)теперь то что получилось в первом ( 19/57) складываешь с 329/63 получаешь 350/ 63
350/ 63 это ответ
2) складываешь то что в скобках и получаешь 77/12
3) умножаешь 77/12 на 16/21 и получаешь 308/63
4) умножаешь 2/27 на 4 1/2( это 9/2) и получаешь 1/3
5) складываешь 308/63 и 1/3 и получаешь 329/63
6)теперь то что получилось в первом ( 19/57) складываешь с 329/63 получаешь 350/ 63
350/ 63 это ответ
Ответ дал:
0
если сократить так и получится))
Ответ дал:
0
5 целых 5/9 это дробь 50/9.
Ответ дал:
0
если то что получилось у меня сократить на 7 то так и получится
Вас заинтересует
8 лет назад
8 лет назад
11 лет назад
11 лет назад
11 лет назад