• Предмет: Алгебра
  • Автор: vvolosick
  • Вопрос задан 8 лет назад

Помогитеее,пожалуйста

Приложения:

Ответы

Ответ дал: ignatovskaoksasha
0

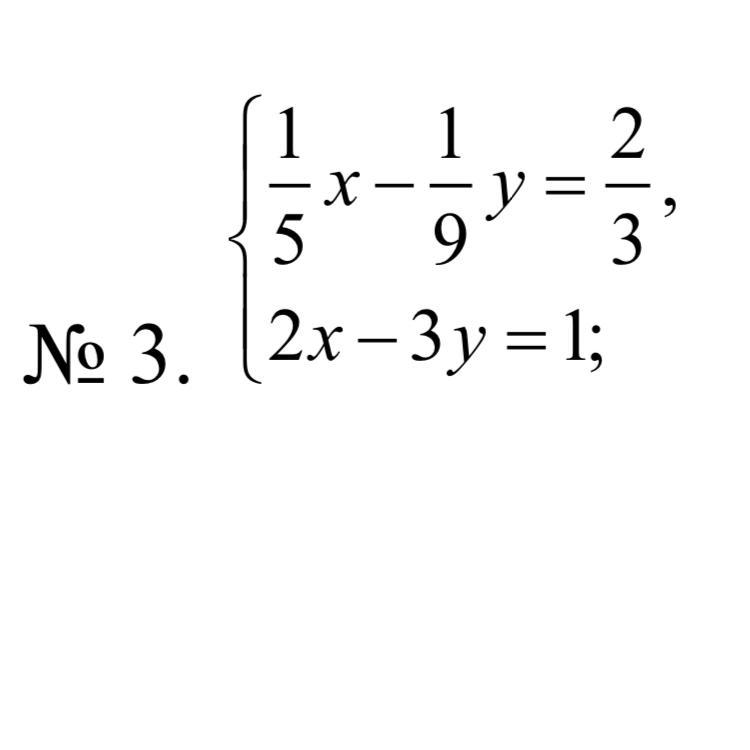
Ответ:

х = 5; у = 3

Объяснение:

Во втором уравнении выразим х через у и подставим в первое

х = (1 + 3у) / 2.

1/5 * (1 + 3у) / 2 - 1/9у = 2/3;

1/10 + 3/10у - 1/9у = 2/3;

17/90у = 51/90;

у = 3.

х = (1 + 3 * 3) / 2 = 10.

Ответ дал: vvolosick
0
Спасибо большое
Вас заинтересует