• Предмет: Алгебра
  • Автор: aevdokimov450
  • Вопрос задан 2 года назад

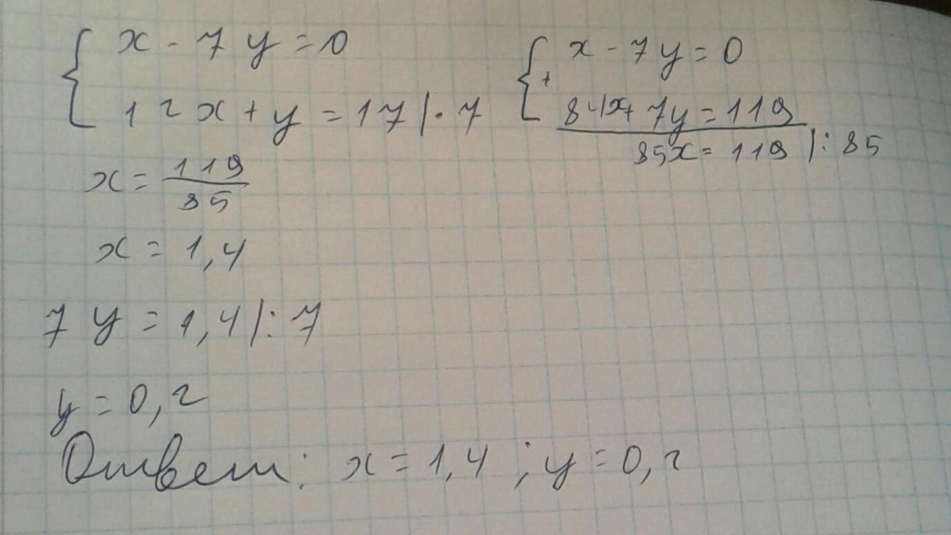
x-7y=0 12x+y=17 решите системы управления способом сложения​ пожалуйста помогите

Ответы

Ответ дал: KrutoyNickname
1

Ответ:

х = 1,4

у = 0,2

Объяснение:

суть заключается в том , чтобы уничтожить одну из букв методом прибавления( или отнимания одно уравнение от другого все на фото), и решить простое урав,нение, потом подставить одну букву в самое легкое уравнение и найти вторую букву

Приложения:
Вас заинтересует