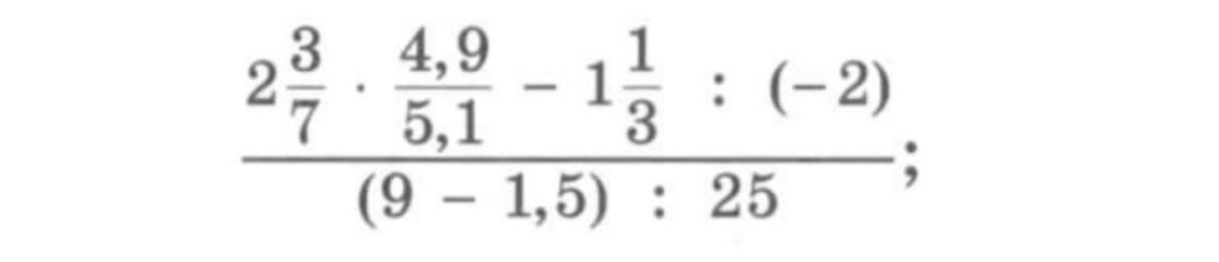
Найдите значение выражения по действиям. Помогите пожалуйста!
Приложения:

nikolaeva2756:
Даю 20 баллов!
Ответы
Ответ дал:
1
Ответ:
= 10
Пошаговое объяснение:
Вычисляем числитель:
1) 2 3/7 * 4,9/5,1 = 17/7 * 49/51 = 7/3
2) 1 1/3 : (-2) = 4/3 : (-2/1) = 4/3 * (-1/2) = - 2/3
3) 7/3 - (-2/3) = 7/3 + 2/3 = 9/3 = 3
Вычисляем знаменатель:
1) 9 - 1,5 = 7,5
2) 7,5 : 25 = 0,3
Теперь решаем дробь:
3/0,3 = 10
Вас заинтересует
1 год назад
1 год назад
1 год назад
1 год назад
3 года назад
3 года назад
8 лет назад