• Предмет: Алгебра
  • Автор: agrabar6
  • Вопрос задан 2 года назад

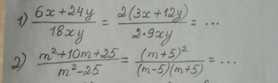
Поможіть скоротити дріб​

Приложения:

Ответы

Ответ дал: alabam2005
1

2). (m+5)2 / (m-5)(m+5)= m+5 / m-5

m+5 / m-5 - ответ

1). 6х +24y / 18xy = 6 (x + 4y) / 18xy = x+4y / 3xy

x+4y / 3xy - ответ

Вас заинтересует