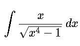
н а й т и и н т е г р а л
Приложения:

Simba2017:
t=x^2....
Ответы
Ответ дал:
1
t=x^2
dt=2x*dx
dx=dt/2
0.5∫dt/√(t^2-1)=0.5*ln|t+√(t^2-1)|+C=0.5ln|x^2+√(x^4-1)|+C
Вас заинтересует
1 год назад
1 год назад
1 год назад
1 год назад
3 года назад
8 лет назад