дигибридное скрещивание"
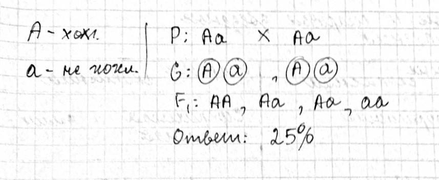
У уток хохлатость доминирует над отсутствием хохла. Определите вероятность (в % появления
утят без хохла при скрещивании двух гетерозиготных хохлатых уток. В ответе запишите ТОЛЬКО
соответствующее число.
Ответ:
Ответы
Ответ дал:
0
Аа×Аа
1АА:2Аа:1аапо генотипу
3 Хохлатых и 1 без хохла
75 % с хохлом и 25 без него
Ответ: 25%
1АА:2Аа:1аапо генотипу
3 Хохлатых и 1 без хохла
75 % с хохлом и 25 без него
Ответ: 25%
Ответ дал:
0
Ответ см. во вложении.
Приложения:
Вас заинтересует
2 года назад
2 года назад
2 года назад
2 года назад
3 года назад
9 лет назад