• Предмет: Алгебра
  • Автор: shmn2006
  • Вопрос задан 8 лет назад

Помогите решитц!!!!!!!!!!!!!!!!!!

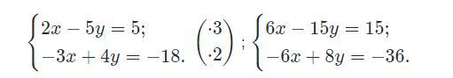
Закончите решение системы уравнений

x =
y =

Приложения:

Ответы

Ответ дал: manyny06
0

Ответ:

решение смотри на фотографии

Объяснение:

Приложения:
Ответ дал: shmn2006
0
спасибо
Вас заинтересует