Ответы
Ответ дал:
0
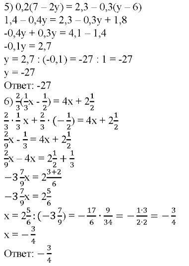
Пошаговое объяснение:
Приложения:





Вас заинтересует
2 года назад
2 года назад
3 года назад
8 лет назад
8 лет назад
9 лет назад
9 лет назад