• Предмет: Математика
  • Автор: maxcherepanov96
  • Вопрос задан 8 лет назад

выполните действия :

Приложения:

Ответы

Ответ дал: mouse167
0

Ответ:

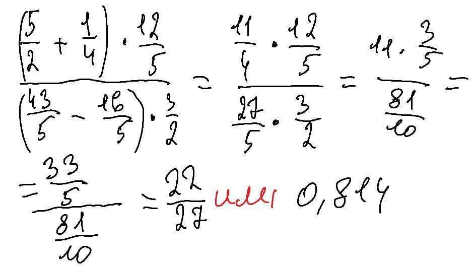
frac{22}{27} или 0,814

Пошаговое объяснение:

Приложения:
Ответ дал: MU4ONIILU4ONII
0

Відповідь:

6,6/0, 3 или 22

Покрокове пояснення:

Приложения:
Вас заинтересует