• Предмет: Алгебра
  • Автор: KostikovBUKALOV
  • Вопрос задан 8 лет назад

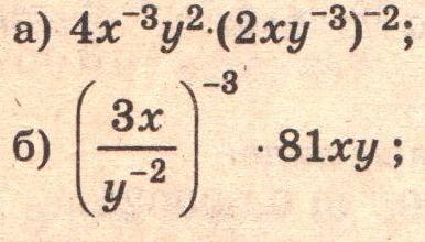
20 б.! Упростите выражения:

Приложения:

Ответы

Ответ дал: kaoaoaoaoaoaoao
0

Ответ:

а) y8/x5

б) 3/x2y5

Объяснение:

Ответ дал: Kotsipakksusha
0

Відповідь:

Пояснення:

Приложения:
Вас заинтересует