• Предмет: Алгебра
  • Автор: olgatokareva1199
  • Вопрос задан 8 лет назад

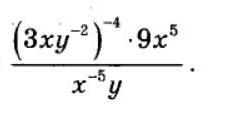
помогите плиз оч надо​

Приложения:

Ответы

Ответ дал: melissahandsburg
0

his name is not available for remote playback of the

Приложения:
Вас заинтересует