• Предмет: Математика
  • Автор: Mlinarsh
  • Вопрос задан 8 лет назад

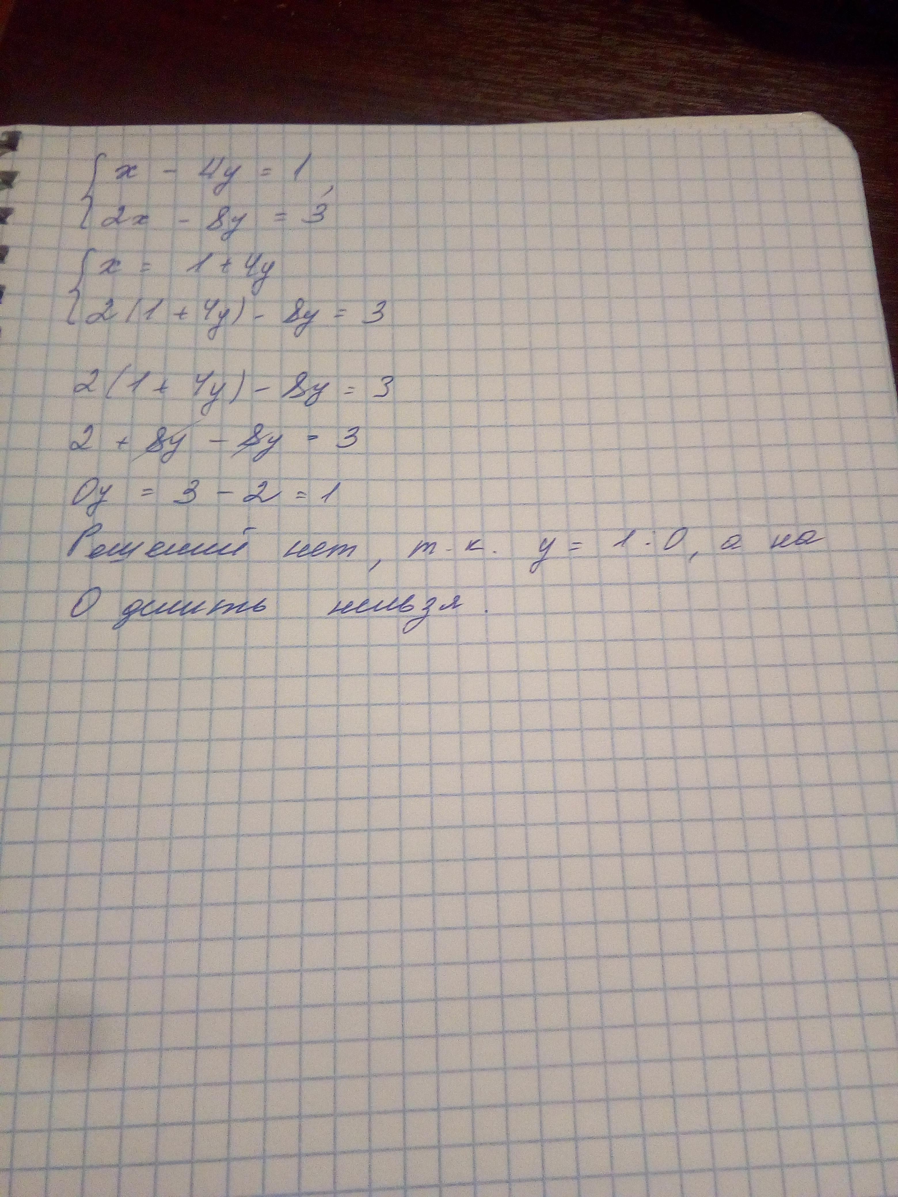
Сколько решений имеет система уравнения: x-4y=1 2x-8y=3 и почему столько решений?

Ответы

Ответ дал: timofeyshipilov
0

Ответ:

Пошаговое объяснение:

Приложения:
Ответ дал: gal4enok0071
0
Надеюсь понятно! Удачи!
Приложения:
Вас заинтересует