Помогите срочно решить задание !!!
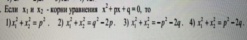
Если х1 и х2 - корни уравнения х^2+рх +q =0 то...
Приложения:

Ответы
Ответ дал:
2
Відповідь:
х1²+х2²=р²
Покрокове пояснення:
х1+х2=-р , якщо піднести х1 іх2 до квадрату , і -р до квадрату, отримаємо відповідь
х1²+х2²=р²
Вас заинтересует
1 год назад
1 год назад
3 года назад
8 лет назад
8 лет назад