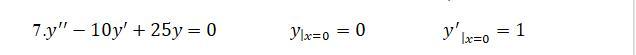
Найти решение задачи коши для однородного дифференциального уравнения второго порядка.
Приложения:

Ответы
Ответ дал:
1
arina271997:
Помогите очень срочно с заданием https://znanija.com/task/36660381
https://znanija.com/task/37586254
https://znanija.com/task/37586313
https://znanija.com/task/37586337
Вас заинтересует
1 год назад
1 год назад
1 год назад
3 года назад
3 года назад
8 лет назад