• Предмет: Алгебра
  • Автор: montimaunt
  • Вопрос задан 8 лет назад

РЕБЯТ ПОМОГИТЕ ПОЖАЛУЙСТА

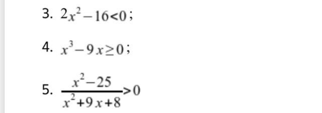
Решите номер 3 и номер 5
Номер 3 через неполный дискриминант

Приложения:

Ответа на этот вопрос пока нет. Попробуйте найти его через форму поиска.

Вас заинтересует