• Предмет: Алгебра
  • Автор: fergisun
  • Вопрос задан 8 лет назад

Помогите пожалуйста решить эти задания!!!!!!!!!

Приложения:

Ответы

Ответ дал: Universalka
0

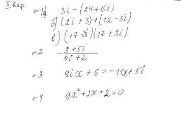
1)3i - (24 + 15i) = 3i - 24 - 15i = - 12i - 24

2) (2i + 3) + (12 - 3i) = 2i + 3 + 12 - 3i = 15 - i

3) (17 - 3i)(17 + 3i) = 17² - (3i)² = 289 - 9i² = 289 + 9 = 298

4)frac{3+5i}{4i+2}=frac{(3+5i)(4i-2)}{(4i+2)(4i-2)}=frac{12i-6+20i^{2}-10i}{16i^{2}-4}=frac{2i-6-20}{-16-4}=frac{2i-26}{-20}=frac{13-i}{10}\\5)9ix+6=-11x+5i\\9ix+11x=5i-6\\x(9i+11)=5i-6\\x=frac{5i-6}{9i+11} =frac{(5i-6)(9i-11)}{(9i+11)(9i-11)}=frac{45i^{2}-55i-54i+66}{81i^{2}-121 }=frac{-45-109i+66}{-81-121}=frac{109i-21}{202}\\x=frac{109i-21}{202}

Ответ дал: Twinsister11
0
https://znanija.com/task/35729118 посмотрите, вдруг знаете
Вас заинтересует