Ответы
Ответ дал:
1
Ответ:
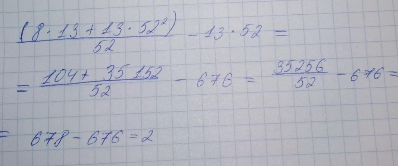
2
Объяснение:
В этом уравнение мы вместо а подставляем 52, вместо b подставляем 13.
Приложения:

pollyandhercats:
помоги еще пару вопросов в профиле
Ответ дал:
1
Смотри на фото
Решение:
Решение:
Приложения:

Вас заинтересует
1 год назад
1 год назад
1 год назад
3 года назад
8 лет назад
8 лет назад